
截止到2018年底,西北电网新能源装机已达到西北调度口径装机容量的34.55%,成为网内第二大装机电源,装机容量及占比均位居六大区域电网第一,具有转动惯量的常规水电、火电机组开机比例逐步下降,因新能源不具备快速频率响应能力,电网频率控制特性的结构性困境日趋明显。开展新能源场站快速频率响应推广应用工作是保障新能源高占比形态下西北送端大电网安全稳定运行的重大举措,对促进西北区域新能源持续健康发展具有重要意义。


西北能监局于2016年已在西北地区进行快速频率响应的试点研究,2016-2017年参与快速频率响应功能试点研究的10家新能源电站全部改造成功,充分验证了新能源场站具备电网快速频率响应能力。2018年8月国家能源局西北监管局下发《西北监能市场【2018】41号》文件,拉开了新能源场站快速频率响应功能商用推广的序幕。
随后南网在2019年9月下发《关于进一步明确新能源场站一次调频管理要求的通知》,湖北在2019年11月下发《关于开展湖北电网省调电厂一次调频相关测试和改造工作的通知》。
同时面对新技术、新情况给电力系统带来的严峻挑战与潜在风险,为更好适应我国电力系统发展的实际需求,2019年12月31日新版《电力系统安全稳定导则》正式发布,2020年7月1日正式实行,作为指导电力系统安全稳定运行的国标文件,明确规定“电源均应具备一次调频、快速调压、调峰能力”,为后续各省制定政策提供了依据。
紧接着山西省在2020年4月下发《关于开展新能源场站一次调频改造工作的通知》,江苏省在2020年7月下发《江苏电网新能源场站一次调频站端自动化技术方案(征求意见稿)》,重庆在2020年9月下发《国网重庆电力调度控制中心关于明确和开展网源协调近期相关重点工作的通知》,辽宁在2020年9月下发《国网辽宁电力调控中心关于辽宁电网新能源场站一次调频及惯量响应功能建设工作安排的通知》,江西、湖南等地也相继发文,明确规定新能源电站必须具备一次调频以及一次调频的相关性能要求、参数设置、电科院检测方案等。快速调频的推广既有利于保障电网的安全运行,又可以进一步完善新能源电站的自动化能力,新能源电站具备快速调频功能已经成为未来发展的趋势。






新能源快速频率响应系统是我司完全自主独立研发的控制系统,基于HPH-7000框架开发,具有完全自主知识产权,针对不同省区对快频指标要求不同,可快速定制开发,从而满足全国各地区新能源快速频率响应要求。
新能源(风电场、 光伏发电站)场站利用 相应的有功控制系统、单机或加装独立控制装置完成有功-频率下垂特性控制,使其在并网点具备参与电网频率快速调整能力。快速频率响应有功-频率下垂特性通过设定频率与有功功率折线函数实现。

测机组安全约束调节,根据接收到的控制命令在满足安全约束条件下实施控制命令输出;
当系统频率发生偏移时,能够按照既定曲线完成系统的一次调频响应:当频率上升时能够主动减少有功
输出;当频率下降时,在限功率状态下能够主动提升功率;


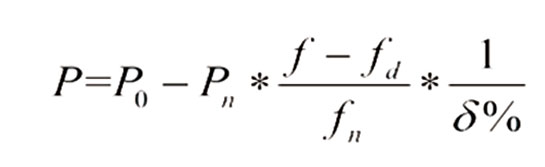
新能源(风电场、光伏发电站)场站利用相应的有功控制系统、单机或加装独立控制装置完成有功一频率下垂特性控制,使其在并网点具备参与电网频率快速调整能力。快速频率响应有功一频率下垂特性通过设定频率与有功功率折线函数实现,即:

式中:fd为快速频率响应死区,Hz.fn为系统额定频率,50Hz;Pn为新能源场站额定功率,MW;δ%为新能源场站快速频率响应调差率:P0为新能源场站有功功率初值,MW。




| 序号 | 功能模块 | 说明 |
| 1 | 核心服务器(HPH-3200) | 运行核心算法软件 |
| 2 | 监控服务器(HPH-3100) | 提供本地监控画面 |
| 3 | 工业交换机 | 汇聚分发相关数据 |
| 4 | 高精度测频装置(HPH-502) | 采集并网点电气参数 |
| 5 | 专用通信模块(HPH-300) | 优化发电区通信(风电无需配置) |
| 6 | 屏柜 | 用于安装以上设备,显示器上屏 |

| 序号 | 指标名称 | 产品指标 | 电网要求(指标要求) |
| 1 | 响应滞后时间 | 1S | 2S |
| 2 | 响应时间 | 3S | 5S |
| 3 | 调节时间 | 5S | 15S |
| 4 | 调频控制偏差 | 1% | 1% |
| 5 | 频率精度 | 0.001Hz | 0.003Hz |
| 6 | 频率采样周期 | 0.1S | 0.1S |
| 7 | 控制周期 | 0.2S | 1S |

| 序号 | 政策及经济效益 | 奖惩考核(1000元/分) | 装机容量 | 合计分值(每年) | 奖惩金额(每年) | 备注 |
| 1 | 未按期完成改造 | 20分/月 | 240分 | -24万 | ||
| 2 | 月备一次调频奖励 | 40分/月 | 50MW及以下 | 480分 | +48万 | 补偿期一年 |
| 3 | 60分/月 | 50-100MW | 720分 | +72万 | ||
| 4 | 70分/月 | 100MW及以上 | 840分 | +84万 | ||
| 5 | 参与一次调频的动作 机分电量补偿 | 150分/万千瓦时 | 根据场站装机容量,每次参与动作时间、每月电网发生一次调频频次进行补偿 | |||





| 合同签订日期 | 项目名称 | 地区 |
2018.12.14 | 国家电投集团山西新能源公司红崖子II期风电场快速调频项目 | 宁夏 |
2018.12.14 | 宁夏同心大地日盛50MW光伏电站快速频率响应系统销售合同 | 宁夏 |
2018.12.14 | 石瑞山宁夏杉阳新能源有限公150MWp光伏电站快速调频项目 | 宁夏 |
2018.12.14 | 中利牧辉95MWp光伏电站快速调频项目 | 宁夏 |
2018.12.14 | 中利淇晖50MWp光伏电站项目速调频项目 | 宁夏 |
2019.2.20 | 克拉玛依尔禾区20MWp光伏电站快速调频项目 | 新疆 |
2019.2.20 | 哈密东南部山口50MWp光伏电站快速调频项目 | 新疆 |
2019.2.20 | 中节能哈密景峽50MWp光伏电站快速调频项目 | 新疆 |
2018.9.05 | 中冶美利云产业投资股份有限公司50MWp光伏电站项目35KV开关站工程 一次顿中快速响应控制系统设备采四 | 宁夏 |
| 2019.1.18 | 新能源云南蒙自老寨风场项目 | 云南 |
| 2019.7.08 | 京能贺兰光伏电站快速调频项目 | 宁夏 |
| 2019.6.24 | 华能凉山州昭觉县碗厂龙恩一一期风电场频率快速响应控制系统 | 四川 |
| 2019.7.31 | 大荔中电国能20MW光伏频率快速响应控制系统 | 陕西 |
| 2019.8.12 | 凯润少佛林风电场频率快速响应控制系统 | 河北 |
| 2019.8.20 | 广西全州黄花岭风场一次调频系统 | 广西 |
| 2019.8.20 | 华润广西北流隆盛风电场一次调频系统 | 广西 |
| 2019.8.12 | 新疆五家渠五垣六师北塔山牧场风电场100MWp快速频 | 新疆 |
| 2019.11.8 | 国电承德国场风电有限公司石人梁200MW风电项目- -次调频智能控制系统 | 河北 |
| 合同签订日期 | 项目名称 | 地区 |
2020.7.20 | 大唐国际内蒙古苏尼特左旗150MW项目 | 内蒙古 |
2020.8.14 | 万邦能源两面井100MW风电场项目一次调频系统设备采购 | 河北 |
2020.9.8 | 中广核任县风电场- 一次调频系统设备采购 | 河北 |
2020.9.12 | 龙源风阳风力发电有限公司曹店风电场-次调频 | 安徽 |
2020.9.16 | 华能布拖乌科风电项目快速调频响应系统采购 | 四川 |
2020.9.16 | 卓阳岗乌&小盘江220KV升压站及送出线路一一次调频 | 河北 |
2020.9.18 | 湖南江永铜山岭风电工程一次调频系统设备采购 | 湖南 |
2020.9.21 | 镶黄旗协鑫能源有限公司镶黄旗150MW风电项目 | 内蒙古 |
2020.9.22 | 盛世在源风力发电有限责任公司150MW特高压风电项目 | 内蒙古 |
2020.9.25 | 宁夏青铜峡雷进窑灰光伏一次调频系统设 备采购 | 宁夏 |
2020.9.26 | 华润电力贵州黎平07 (德顺)风电项目快速频率响应系统采购 | 广西 |
2020.9.28 | 中核汇能七墩滩第一风电场- 一次调频系统 | 甘肃 |
2020.11.7 | 江西浮梁中岭100MW风电场工程- 一次调频系统 | 江西 |
2020.11.12 | 洛南光伏农业与光伏观光旅游综合利用示范项目快速频丰响应系统控制系统 | 陕西 |
2020.11.17 | 中电建安龙县普坪南天门农业光伏电站项目一一次调频系统设备采购 | 贵州 |
2020.12.7 | 大唐钟祥风电有限公司龙王山风电场- 一次调频系统采购 | 湖北 |
2020.12.13 | 新疆哈密华光50MW光伏快速频率响应功能改造项目 | 新疆 |
2020.12.16 | 大唐青灰岭风光发电示范项目49.7MW工程- 一次调频系统 | 北京 |
| 合同签订日期 | 项目名称 | 地区 |
2020.1.05 | 石嘱山杉阳新能源150MWp光伏电站快速调频项目 | 宁夏 |
2020.1.10 | 大荔县宫池镇5万千瓦风电项目频率快速响应控制系统采购 | 陕西 |
2020.1.14 | 辽宁龙源康平项目快速频率响应系统 | 辽宁 |
2020.1.17 | 华能强庄风场快速频率响应技改工程一次调频系统 | 陕西 |
2020.3.05 | 华润广西福绵六万山风电项目《祥甜风电场) 84MW - 一次调频调节系统采购 | 广西 |
2020.3.16 | 浙能宁夏中卫香山风电项目工程快速调频系统 | 宁夏 |
2020.3.22 | 广西合浦曲樟风电场- 一次调频系统 | 广西 |
2020.3.28 | 河北丰宁大河西风电场- 一次调频系统 | 河北 |
2020.4.21 | 吉林兴隆山风电场-一次调频系统 | 吉林 |
2020.5.08 | 广西钦州犀牛角镇20MW光伏电站- 一次调频系统 | 广西 |
2020.6.05 | 广西四方岭风电场一次调频系统 | 广西 |
2020.6.21 | 国华铜川风电场一次调频系统 | 陕西 |
2020.6.22 | 安徽龙源电力风电发电有限公司来安风电场- 一次调频 | 安徽 |
2020.7.10 | 华润新能源(安达)有限公司- 一次调频系统 | 黑龙江 |
2020.7.12 | 广东台山海宴镇200MWp渔业光伏发电项目 | 广东 |
2020.7.12 | 龙源大理风力发电百山风电场一次调频系统 | 云南 |
2020.7.15 | 国家电投或宁百万基地光伏项目工程220kV仙水窝升压站- 一次调题系统 | 贵州 |
2020.7.20 | 广西武鸣安凤岭风电场工程一次调频设备采购 | 广西 |